通知公告

公司首页 >> 通知公告 >> 正文

通知公告

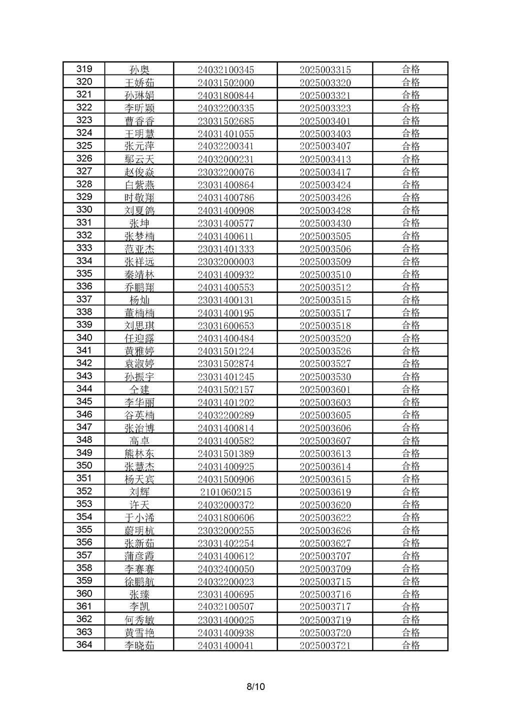
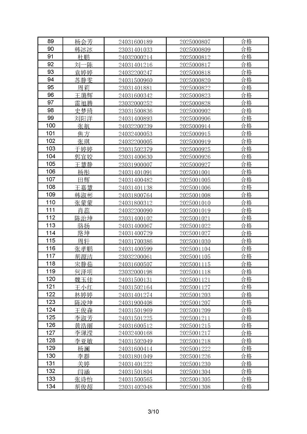
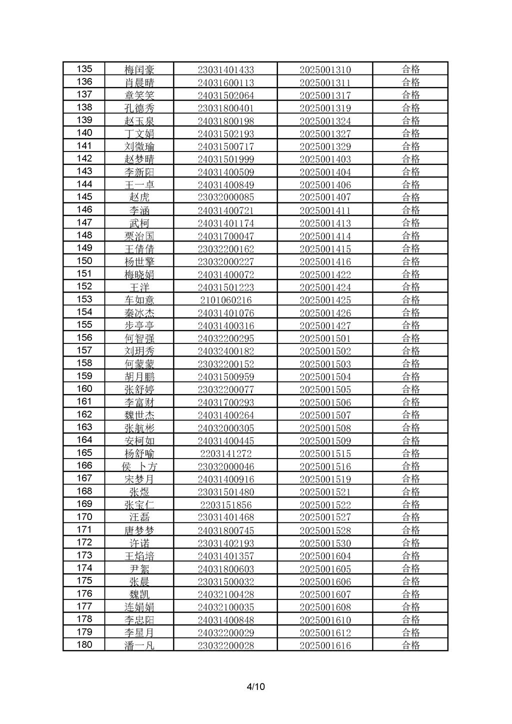
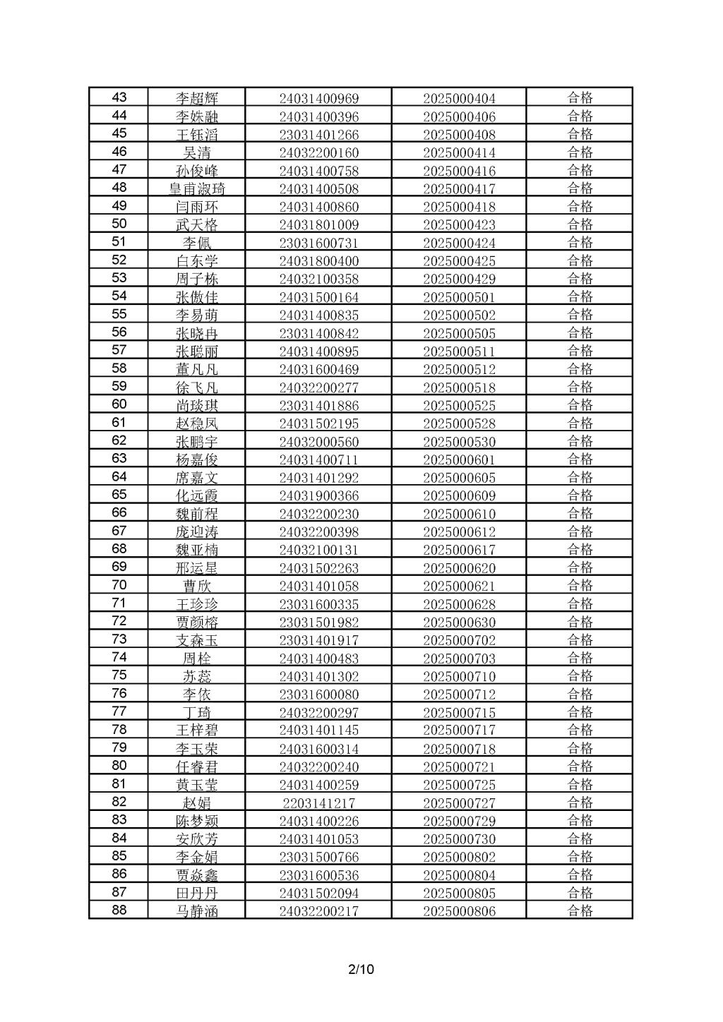
2025年学位英语考试合格名单公示

发布日期:2025-04-14点击数:

上一条:关于办理2025级新生转专业及调整学习形式的公告

下一条:beat365中文官网关于 2025 年成人学位外语考试作弊员工的处理通告

关闭