beat365(中华)品牌公司-Official website
公司首页
关于我们
beat365简介
机构设置
经理简介
联系方式
招生信息
招生简章
专业介绍
教务教学
教材信息
考务工作
员工工作
学籍管理
常用下载
beat365新闻
通知公告
政治学习
工会活动
公司首页
关于我们
beat365简介
机构设置
经理简介
联系方式
招生信息
招生简章
专业介绍
教务教学
教材信息
考务工作
员工工作
学籍管理
常用下载
beat365新闻
通知公告
政治学习
工会活动
beat365新闻
公司首页
>>
beat365新闻
>> 正文
beat365新闻
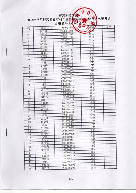
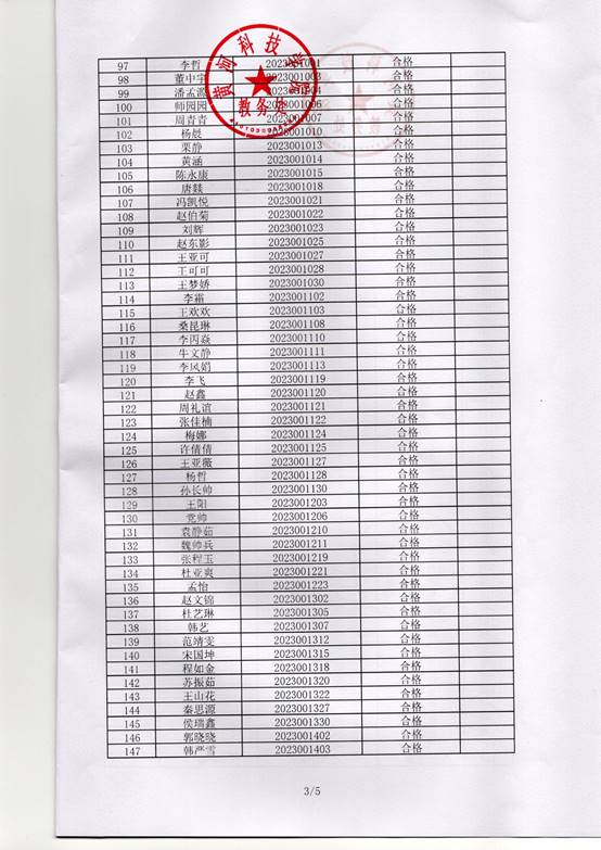
2023学位外语通过名单公示
发布日期:2023-04-23
点击数:
上一条:
公司举行成人教育2023级新生“云”开学典礼暨入学教育
下一条:
关于2021级毕业生考试的通知
【
关闭
】